News Script Tagalog 2021
July 2 2021 Pagkatapos ng triple bypass surgery Doris Bigornia balik na naman sa ospital dahil sa bagong infection July 2 2021 Manila nurse na nagbenta ng 300 vials ng Sinovac worth P1M gustong ipakulong ni Isko July 2 2021. Tv script english editorial news.

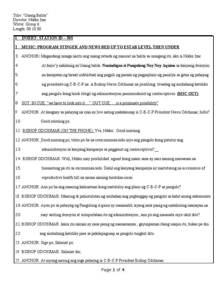
Tv News Report Script Example Tagalog Examplepapers
Myanmar forces kill 25 in raid on town resident and media.

News script tagalog 2021. Àyon kay Komisyoner Dr. Moreover news must be true the news is a trigger and news is people. RADIO BROADCASTING SCRIPT Sa paksang ito ating tatalakayin ang mga halimbawa ng Radio Broadcasting Script sa Tagalog.
Tv news script formats sample scripts. SB19 Andrea Brillantes Sanya Lopez bag TikToks Top Celebrity Award. February 10 2021 Post a Comment A short summary of this paper.
Tv news report script example tagalog. KAMI News Portal for Filipinos PINAKABAGONG balita at istorya ukol sa Local events Showbiz Sports Politics at World news sa wikang Tagalog. RADYO ASENSO SONG 3 HOST 1.
A portal of daily newspapers covering Philippine news headlines business lifestyle advertisement sports and entertainment. This is for my Mass Communication class at the USJR. English The original Pilipino radio program in Calgary Radyo Pilipino broadcasts every Sunday from 1000 AM to 1100 AM on CJSW 909 FM.
Focusing on Filipino music culture news from the old country around the globe and here in Calgary local events and happenings of both our 1st and 2nd generation Filipino Canadians. Yassi Pressman nakita na sa personal si NBA star Damian Lillard matapos ang donasyon nito sa PGH. Best News Casting Script Newscasting is the medium of broadcasting different news events and other information via television radio or the internet in the field of broadcast journalism.
This article discusses some best newscasting opening and closing script lines in English. Na-stroke na arkitekto naging volunteer tutor sa elementary pupils sa Sorsogon. Jeric Paglingayen Anchor 2.
Emcee script for recognition day in elementary tagalog. Isasailalim na sa Tagalog o wikang Filipino ang infographic sa COVID19 upang higit na maunawaan ng mga Pinoy. ABS-CBN News Updated as of Jul 03 0206 PM.
Kindly switch your mobile phones to silent mode to avoid interruption. Tap or click the link below to download this weeks GB2RS news script. Ang Radio Broadcasting ay isang paraan upang mapadalhan ng impormasyon ang mga tao tungkol sa mga isyung panlipunan balita at iba pang makabuluhang pangyayari.
The actual TV news scripts are courtesy of. Filipino Radio Broadcasting Script. Quennie De Leon News Presenter.
The news reporter makes aware the people about important events sports coverage weather forecasts traffic reports commentary and other material that the. Flag for inappropriate content. Also delivers Manila and Cebu news.
Arthur Casanova ng Komisyon ng Wikang Filipino nakatangap sila ng kahilingan mula sa ibat ibang ahensya ng pamahalaan partikular sa Department of Health DOH para sa pagsasalin ng mga infographics sa COVID-19. Mata ng bayan boses ng katotohanan. Obiena naka-gold na naman.
Baldwin said pool needs to get mentally tougher July 04 2021. It is the day when we students can say Ive done it. 25 found this document not useful Mark this document as.
DZRM otso otso sa palapihitan ng inyong mga radio Anchor 1. A campaign of msc setyembre 1. Sa report ni rey alvis.
GB2RS News Script for 4 July 2021 15-page410KB Microsoft Word document Problems downloading the GB2RS news script. Matapos ang donasyon nito para sa Philippine General Hospital nagkita na sa personal ang NBA star na si Damian Lillard at aktres na si Yassi Pressman sa Los Angeles California sa Amerika. Mga OFW sa isang bayan sa Taiwan umaray dahil sa quarantine restriction.
Save Breaking News Script Filipino For Later. 75 found this document useful Mark this document as useful. Radio and tv script tagalog she is the woman.
Latest Philippine Sports News scores and updates. Examples of tagalog script for emcee. Dutch police travels to m h seventeen site.
For a newscaster one of the significant parts of news is the opening lines. Mayroon din itong ibat-ibang uri katulad ng. Try this alternative link.
Muling binura ni EJ Obiena ang national mens pole vault record na siya. Download as DOCX PDF TXT or read online from Scribd. News Broadcast Script For Students Tagalog.
DZRM Scriptwriting and Broadcasting September 8 2015 Malakas na bagsak ng tunog at biglang hihina Station ID. News must tell the audience something they do not already know information that is recent or just come to light.
Tv News Report Script Example Tagalog Examplepapers

Get 33 Weather Forecast Script Tagalog

Radio Broadcasting Script Real News Patrol
![]()
Get 33 Weather Forecast Script Tagalog

Broadcasting Script 6nge5qd1r6lv
![]()
Broadcasting Script Doc Radio Script Dzrb 847 5 The Bcp Radiobcp Yahoo Com Music Intro Male Anchor News With No Bias Female Anchor News With No Course Hero
News Script Rape Unt Digital Library
Get 33 Weather Forecast Script Tagalog
![]()
Pdf Sample 5 Minute Broadcast Script Conielyn Montilla Academia Edu
Https Newsroom Osfhealthcare Org Download 845811 Script Broadcast Talkingtoyourkidsaboutcovid 19 Pdf

Radio Broadcasting Script Real News Patrol
How To Make News Casting Script Tagalog

Radio Broadcasting Script Pdfcoffee Com

Filipino Radio Broadcasting Script Vnd1qxx1rrnx
![]()
Get 33 Weather Forecast Script Tagalog

Breaking News Script Filipino Klzzkj33e7lg


Post a Comment for "News Script Tagalog 2021"